Para obter os gráficos das funções irracionais, precisamos considerar o domínio da função. Isso ocorre porque não podemos colocar um valor negativo dentro de uma raiz quadrada. Além de considerar o domínio, também precisamos traçar o gráfico com cuidado, pois é muito fácil para a maioria dos gráficos se revelarem parcialmente errados.
Visto que na maioria dos casos a representação gráfica de funções irracionais envolve raízes quadradas, a maioria dos exemplos apresentados aqui será com raízes quadradas.
Gráfico de função $latex f\left( x \right)=\sqrt{{2-x}}$
Como já mencionamos, precisamos começar verificando o domínio para saber onde não devemos tentar plotar pontos. Sabemos que não podemos ter números negativos dentro de raízes quadradas, então devemos considerar isso e determinar para quais valores de x podemos representar graficamente sem problemas. Por exemplo, sabemos que não podemos ter $latex x=4$uma vez que obteremos o seguinte:
$latex f\left( x \right)=\sqrt{{2-4}}=\sqrt{{-2}}$
Para encontrar o domínio desta função, pegamos os valores que estão dentro do radical e formamos uma desigualdade com “igual ou maior que zero”. Então, resolvemos essa desigualdade para os valores de x:
$latex 2-x\ge 0$
$latex 2\ge x$
$latex x\le 2$
Agora sabemos que não devemos escolher nenhum valor de x maior que 2 para a tabela de valores que formaremos. Também sabemos que não devemos tentar representar graficamente nada à direita de 2.
Um erro comum que muitos alunos cometem é escolher valores muito próximos para x e assumir que a função pode ser representada por esses valores. Por exemplo, suponha que escolhemos os seguintes valores:

Ao representar graficamente esses pontos no plano cartesiano, obtemos o seguinte:

No entanto, o erro ocorre quando assumimos que podemos traçar uma linha reta unindo esses pontos:

Para evitar esse erro, não só temos que escolher mais valores de x, mas temos que escolher valores de x que sejam mais úteis. Assim, podemos escolher valores de x um pouco mais distantes um do outro e também ter certeza de incluir o ponto limite dado pelo domínio $latex x\le 2$.
Formando uma tabela com os valores mencionados, temos:

Então, podemos representar graficamente esses pontos no plano cartesiano:

Podemos ver que os pontos formam uma curva, então desenhamos essa curva sem estender o gráfico à direita de $latex x=2$:

Lembre-se de que você não deve desenhar linhas retas ao representar graficamente funções irracionais, pois esses gráficos produzem curvas. Lembre-se também de que é aconselhável tomar valores de x separados uns dos outros para obter melhores pontos de referencia.
Gráfico de função $latex f\left( x \right)=-\sqrt{{2x-3}}$
No exemplo anterior, pudemos usar apenas números inteiros para obter os pontos de maneira fácil. No entanto, isso nem sempre é possível. Haverá momentos em que teremos que usar frações, então teremos que ser mais cuidadosos ao plotar os pontos no plano cartesiano.
Para representar graficamente a função $latex f(x) = – \sqrt{2x-3}$, novamente, começamos encontrando o domínio. Vamos resolver a desigualdade onde os valores dentro do radical não são negativos:
$latex 2x-3\ge 0$
$latex 2x\ge 3$
$latex x\ge \frac{3}{2}$
Nesse caso, sabemos que o primeiro ponto do gráfico estará em $latex x=\frac{3}{2}$, portanto, começaremos a partir daí e obteremos valores maiores de x:

É possível obter valores y inteiros, como os obtidos na tabela, começando pensando no número que deve estar dentro da raiz quadrada e, em seguida, encontrando o valor x correspondente.
Plotando os pontos e desenhando a curva que os une, obtemos o seguinte gráfico:

Gráfico de função $latex f\left( x \right)=2\sqrt{{3x+2}}-1$
Precisamos encontrar o domínio da função. Formamos uma desigualdade para que os valores na raiz quadrada sejam maiores que zero:
$latex 3x+2\ge 0$
$latex 3x\ge -2$
$latex x\ge \frac{-2}{3}$
Agora precisamos encontrar vários pontos no gráfico que estão separados uns dos outros para facilitar a plotagem do gráfico. Começamos com o ponto $latex x=\frac{-2}{3}$ e pegamos valores maiores para a direita:

Novamente, os pontos foram encontrados pensando sobre os valores que devemos ter na raiz quadrada para produzir números inteiros e, em seguida, determinando o valor x correspondente. Plotando os pontos e desenhando a curva, temos o seguinte:

Observe que o gráfico cresce para a direita indefinidamente, mas como o domínio é restrito a $latex x \ge \frac{-2}{3}$, não temos mais valores para a esquerda e o gráfico começa no ponto $latex (\frac{- 2}{3},~ -1)$.
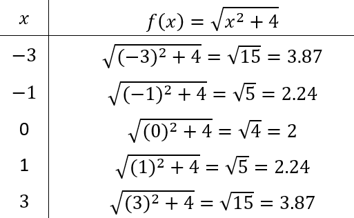
Gráfico de função $latex f\left( x \right)=\sqrt{{{{x}^{2}}+4}}$
Novamente, temos que começar encontrando o domínio da função. Para fazer isso, temos que resolver a quadrática que está dentro da raiz quadrada, mas também podemos usar o gráfico desta função quadrática:

Como a parábola está sempre no eixo x, então $latex {{x}^2}+4$ é sempre positivo. Como a expressão dentro da raiz quadrada é sempre positiva, os valores de x podem ser qualquer coisa, ou seja, não temos restrições no domínio dessa função irracional.
Podemos provar isso algebricamente:
$latex {{x}^{2}}+4\ge 0$
$latex {{x}^{2}}\ge -4$
Como qualquer número ao quadrado será igual a zero ou maior que zero, sabemos que podemos usar qualquer valor de x.
Podemos formar nossa tabela com diferentes valores de x. Desta vez, é um pouco mais difícil encontrar valores inteiros, então podemos obter valores decimais:

Usando esses pontos e traçando o gráfico, obtemos o seguinte:

Gráfico de função $latex f\left( x \right)=\sqrt[3]{{x-3}}$
A maioria das funções irracionais envolvem raízes quadradas. Mas também podemos representar graficamente outras funções irracionais. Por exemplo, vamos representar graficamente a função $latex f (x) = \sqrt [3]{{x-3}}$.
Neste caso, não temos limitações com o domínio, pois temos uma função irracional cúbica. Isso ocorre porque podemos ter valores negativos em uma raiz cúbica. Na verdade, podemos ter valores negativos em qualquer raiz com um índice ímpar. Portanto, o domínio são todos os números reais de x. Como a parábola está sempre no eixo x, então $latex {{x}^2}+4$ é sempre positivo. Como a expressão dentro da raiz quadrada é sempre positiva, os valores de x podem ser qualquer coisa, ou seja, não temos restrições no domínio dessa função irracional.
Novamente, temos que encontrar pontos para traçar e podemos formar nossa tabela com diferentes valores de x. Usando uma calculadora, encontramos os seguintes valores:

Plotando esses pontos no plano cartesiano e desenhando a curva, obtemos o seguinte gráfico:

Veja também
Você quer aprender mais sobre gráficos de funções? Olha para estas páginas:

