Polinômios podem ser divididos usando divisão longa de polinômios. A divisão dos polinômios neste formato nos permite visualizar melhor cada uma dos passos envolvidos. Se obtivermos um resto depois de fazer a divisão, devemos incluí-lo na resposta final, escrevendo-o como uma fração.
A seguir, veremos um resumo do processo usado para dividir polinômios. Além disso, veremos vários exercícios de divisão de polinômios resolvidos para visualizar a aplicação deste processo.
Resumo de divisão de polinômios
Para dividir polinômios que contêm mais de um termo, temos que usar a chamada divisão longa de polinômios. Realizamos a divisão longa de polinômios seguindo estos passos:
Passo 1: Temos que nos certificar de que o polinômio está escrito em ordem decrescente. Se houver algum termo faltando, usamos um zero para preencher um espaço ou apenas deixamos um espaço em branco.
Passo 2: Dividimos o termo com maior potência dentro do símbolo de divisão pelo termo com maior potência fora do símbolo de divisão.
Passo 3: Multiplicamos ou distribuímos a resposta obtida no passo anterior pelo polinômio na frente do símbolo de divisão.
Passo 4: Subtraímos o obtido e escrevemos o seguinte termo.
Passo 5: Repetimos os passos 2, 3 e 4 até que não haja mais termos restantes.
Passo 6: Escrevemos a resposta final. A expressão restante depois que os últimos termos foram subtraídos é o resto. Devemos escrever o resto como uma fração na resposta final.
Exercícios de divisão de polinômios resolvidos
O processo de divisão longa mencionado acima é usado para resolver os seguintes exercícios de divisão polinomial. É recomendável que você tente resolver os exercícios sozinho antes de procurar a solução.
EXERCÍCIO 1
Resolva a divisão de polinômios: $latex \frac{{{x}^2}+8x+15}{x+5}$.
Solução

Passo 1: Os polinômios já estão organizados em ordem decrescente.
Passo 2: Começamos dividindo $latex {{x}^2}$ por x, que é igual a x.
Passo 3: Multiplicando esta resposta pelo polinômio na frente $latex (x+5)$, temos $latex {{x}^2}+5x$.
Passo 4: Subtraímos essa expressão e obtemos 3x. Descemos o 15 para completar o polinômio.
Passo 5: Dividindo 3x por x, temos 3. Multiplicamos 3 por $latex x+5$ para obter $latex 3x+15$. Subtraindo, obtemos zero.
Passo 6: a resposta final é x + 3.
EXERCÍCIO 2
Resolva a divisão de polinômios: $latex \frac{2{{x}^3}+7{{x}^2}+10x+8}{x+2}$.
Solução

Passo 1: Também aqui os polinômios são organizados em ordem decrescente.
Passo 2: Começamos dividindo $latex 2{{x}^3}$ por x, que é igual a $latex 2{{x}^2}$.
Passo 3: Multiplicamos isso pelo polinômio $latex x+2$, para obter $latex 2{{x}^3}+4{{x}^2}$.
Passo 4: Subtraímos esta expressão para obter $latex 3{{x}^2}$. Descemos 10x para completar o polinômio.
Passo 5: Dividindo $latex 3{{x}^2}$ por x, temos 3x. Multiplicando e subtraindo, temos 4x. Reduzimos o 8 para formar $latex 4x+8$. Dividindo 4x por x, temos 4. Multiplicando e subtraindo, temos 0.
Passo 6: A resposta final é $latex 2{{x}^2}+3x+4$.
EXERCÍCIO 3
Qual é o resultado da divisão $latex \frac{{{x}^2}-3x+6}{x+2}$?
Solução

Passo 1: Os polinômios já estão organizados.
Passo 2: Começamos dividindo $latex {{x}^2}$ por x, para obter x.
Passo 3: Multiplicando por $latex x+2$, temos $latex {{x}^2}+4x$.
Passo 4: subtraindo, obtemos -5x. Descemos para 6 para completar o polinômio.
Passo 5: Dividindo -5x por x, temos -5. Multiplicando e subtraindo, temos 16.
Passo 6: A resposta final é $latex x-5+\frac{16}{x + 2}$.
EXERCÍCIO 4
Qual é o resultado da divisão $latex \frac{{{x}^5}+{{x}^2}+{{x}^4}+{{x}^3}+x+1}{x-1}$?
Solução

Passo 1: Começamos organizando os polinômios em ordem decrescente.
Passo 2: Dividimos $latex {{x}^5}$ por x, para obter $latex {{x}^4}$.
Passo 3: Multiplicando isso por $latex x-1$, temos $latex {{x}^5}-{{x}^4}$.
Passo 4: Subtraindo essa expressão, temos $latex 2{{x}^4}$. Descemos $latex {{x}^3}$ para completar o polinômio.
Passo 5: Repetimos os passos 2, 3 e 4 até completar a divisão e obter 6 restos.
Passo 6: a resposta final é $latex {{x}^4}+2{{x}^3}+\frac{6}{x-1}$.
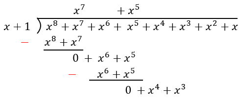
EXERCÍCIO 5
Resolva a divisão $latex \frac{{{x}^8}+{{x}^7}+{{x}^4}+{{x}^5}+{{x}^6}+{{x}^3}+{{x}^2}+x}{x+1}$.
Solução

Passo 1: Temos que ordenar os polinômios em ordem decrescente e deixar espaço se não houver todos os termos.
Passo 2: Começamos dividindo $latex {{x}^8}$ por x, para obter $latex {{x}^7}$.
Passo 3: Multiplicamos isso pelo polinômio $latex x+1$, para obter $latex {{x}^8}+{{x}^7}$.
Passo 4: Subtraímos essa expressão para obter 0. Baixamos os seguintes termos para dividir.
Passo 5: Dividindo $latex {{x}^6}$ por x, temos $latex {{x}^5}$. Multiplicando e subtraindo, temos 0.
Passo 6: Podemos observar um padrão na divisão. Os termos sempre são cancelados, deixando um resto de 0. Como temos um número par de termos no divisor, o resto será 0 e o quociente será $latex {{x}^7}+{{x}^5}+{{x}^3}+x$.
Calculadora de Divisão Polinomial
Exercícios de divisão de polinômios para resolver
Pratique a divisão de polinômios usando os exercícios a seguir. Resolva os exercícios e selecione a resposta obtida. Clique em “Verificar” para verificar se você obteve a resposta correta.
Veja também
Você quer aprender mais sobre operações polinomiais? Olha para estas páginas: